業界ニュース

溶解性と安定性を向上させるシクロデキストリンベースのソリューション

溶解性と安定性を向上させるシクロデキストリンベースのソリューション

ヒドロキシプロピルベータデックスおよびベータデックススルホブチルエーテルナトリウムの技術概要

シクロデキストリンは、難溶性または化学的に敏感な化合物の溶解性と安定性を改善する能力が広く知られています。シクロデキストリンとその誘導体は、その独特な環状分子構造により、製薬、化学、および関連製剤分野にわたって重要な機能性賦形剤となっています。技術的および規制上の要件の増加に対応して、西安デリ生化学は、主要なシクロデキストリン誘導体の技術文書と製品サポートをさらに洗練しました。ヒドロキシプロピルベタデックス(HPBCD)およびベタデックススルホブチルエーテルナトリウム(SBECD)。


シクロデキストリンの構造的特徴と機能的性能

シクロデキストリンは、α-1,4 グリコシド結合によって結合されたグルコース単位で構成される環状オリゴ糖です。それらの分子構造は、親水性の外表面と比較的疎水性の内部空洞を特徴としており、幅広いゲスト分子との包接複合体の形成を可能にします。シクロデキストリン構造を化学修飾すると、水溶性が大幅に向上し、用途の多様性が広がります。


ヒドロキシプロピルベータデックス (HPBCD)


ヒドロキシプロピルベータデックスは、天然シクロデキストリンの限られた溶解度を克服するために設計された化学的に修飾されたβ-シクロデキストリンです。 HPBCD は、その強化された水溶性と良好な相溶性により、効果的な可溶化、安定化、および多様なシステムにわたる配合の柔軟性を必要とする用途に適しています。


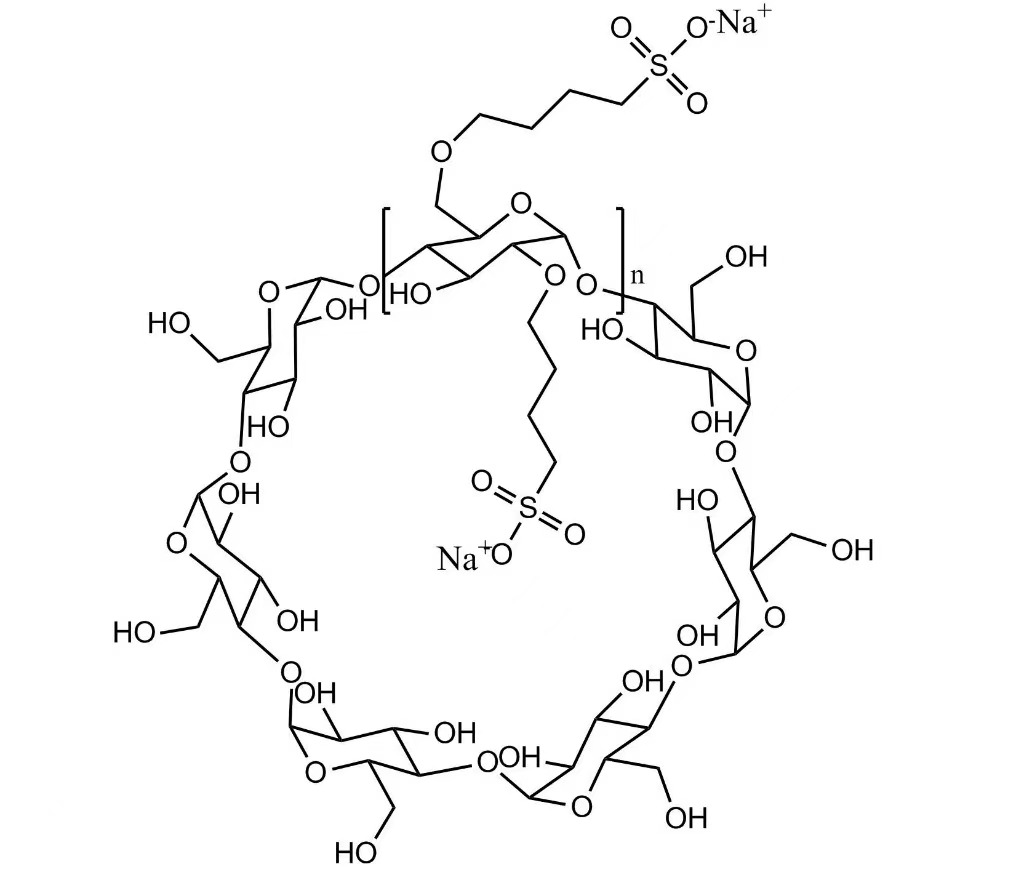
ベタデックス スルホブチル エーテル ナトリウム (SBECD)


ベタデックス スルホブチル エーテル ナトリウムは、スルホブチル エーテル置換基を特徴とするアニオン性シクロデキストリン誘導体です。この構造は、特定の化合物との静電相互作用を強化し、より要求の厳しい用途における溶解性、複雑な安定性、および配合の堅牢性の向上をサポートします。

標準化された製品情報と技術サポート

製剤開発、品質評価、調達プロセスをより適切にサポートするために、Xi’an Deli Biochemical は、HPBCD および SBECD に関する次のような製品情報を体系的に更新しました。


  • 明確に定義され標準化された製品仕様と分析パラメータ
  • トレーサビリティと品質検証を保証するバッチ固有の分析証明書 (COA)
  • 取り扱い、保管、一般的なアプリケーションの考慮事項に対処する拡張された技術 FAQ
  • 効率的な技術レビューと選択を促進するように設計された最適化された製品概要


これらの改善は、透明性を高め、評価スケジュールを短縮し、供給サイクル全体を通じて一貫した製品パフォーマンスをサポートすることを目的としています。


製造経験と品質保証

1999 年に設立された西安デリ生化学は、シクロデキストリン誘導体の製造において 26 年の経験を持っています。同社はヒドロキシプロピルベタデックスとベタデックススルホブチルエーテルナトリウムの制御生産に注力しており、プロセスの一貫性、バッチ間の信頼性、長期的な供給安定性を重視しています。構造化された品質管理の実践により、顧客の技術的、規制的、および調達要件がサポートされます。


適用範囲と技術提携

シクロデキストリンの包接と安定化メカニズムに基づいて、HPBCD と SBECD は、医薬品関連製剤、特殊化学薬品、動物用製品、および溶解性と安定性の向上を必要とするその他のシステムを含む、複数の技術分野にわたって適用できます。西安デリ生化学は、進化する製剤ニーズをサポートするために、アプリケーションに焦点を当てたコミュニケーションと技術協力を通じてパートナーとの関わりを続けています。


西安デリ生化学産業企業について

1999 年に設立された西安デリ生化学工業会社は、シクロデキストリン誘導体の専門メーカーであり、ヒドロキシプロピルベタデックス (HPBCD) とベタデックススルホブチルエーテルナトリウム (SBECD) を世界中の顧客に供給しています。同社は、製品の一貫性、明確な仕様、実践的な技術サポートに長年重点を置き、信頼性の高いシクロデキストリンベースのソリューションを提供することに尽力し続けています。


ご希望であれば、次のこともできます。


  • これを Google SEO 用にさらに最適化します (技術的なトーンを低下させることなく)
  • 製品ページの「技術アップデート」バージョンに凝縮
  • 規制や品質を重視する顧客向けに適応させる


どこで公開する予定なのか教えてください。


お問い合わせを送信


icon
X
当社は Cookie を使用して、より良いブラウジング体験を提供し、サイトのトラフィックを分析し、コンテンツをパーソナライズします。このサイトを使用すると、Cookie の使用に同意したことになります。 プライバシーポリシー
拒否する 受け入れる